This distribution is used quite frequently in reliability analysis. It can be considered an extension of the binomial distribution when n is infinite. It can be used to approximate the binomial distribution when n > 20 and p < 0.05.
If events are Poisson distributed, they occur at a constant average rate and the number of events occurring in any time interval are independent of the number of events occurring in any other time interval. For example, the number of failures in a given time would be given by:
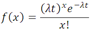
where x is the number of failures and a is the expected number of failures. For the purpose of reliability analysis, this becomes:
where x is the number of failures and a is the expected number of failures.
For the purpose of reliability analysis, this becomes:
where:
λ = failure rate
t = length of time being considered
x = number of failures
The reliability function, R(t), or the probability of zero failures in time t is given by:
or the exponential distribution.
In the case of redundant equipments, the R(t) might be desired in terms of the probability of r or fewer failures in time t. For that case
Example 1
A complex control panel has an average failure rate (λ) of 0.001 lamp failures per hours. What is the reliability for a 500 hour mission if the number of lamp failures cannot exceed 2?
λ = 0.001
t = 500
r ≤ 2
λt = 0.5
R(t) = 0.986
Example 2
Assume a partially redundant system of ten elements. An average of λ failures per hour can be expected if each failure is instantly repaired or replaced. Find the probability that x failures will occur if the system is put in operation for t hours and each failure is repaired as it occurs.
If λ is the average number of failures per element for one hour, then t is the average number of element failures for t hours. Hence,
With n of these elements in the system, the average number of failures in t hours would be nλt, and
If λ = 0.001 per hour, t = 50 hours, for n = 10, then
m = nλt = 10(0.001)50 = 0.5
f(x = 0) = 0.607 = P(0)
f(x = 1) = 0.303 = P(1)
f(x = 2) = 0.076 = P(2)
The system then has a probability of 0.607 of surviving the 50 hour mission with no element failures; a probability of 0.91 (the sum of P(0) and P(1) of surviving with no more than one element failure. There is a 9% chance that two or more failures will occur during the mission period. If the system will perform satisfactorily with nine elements, and, if further, we are permitted one online repair action during the mission (to repair a second failure ), then system reliability during the mission is P(0) + P(1) + P(2) = 0.986 (assuming instantaneous repair or replacement capability). This illustrates the advantage of online repairs, to permit failure occurrence without sacrificing reliability.
References:
1. MIL-HDBK-338, Electronic Reliability Design Handbook, 15 Oct 84
2. Bazovsky, Igor, Reliability Theory and Practice
3. O’Connor, Patrick, D. T., Practical Reliability Engineering
4. Birolini, Alessandro, Reliability Engineering: Theory and Practice





