There are two principal applications of the normal (or Gaussian) distribution to reliability. One application deals with the analysis of items which exhibit failure due to wear, such as mechanical devices. Frequently the wearout failure distribution is sufficiently close to normal that the use of this distribution for predicting or assessing reliability is valid.
The other application deals with the analysis of manufactured items and their ability to meet specifications. No two parts made to the same specification are exactly alike. The variability of parts leads to a variability in systems composed of those parts. The design must take this part variability into account, otherwise the system may not meet the specification requirement due to the combined effect of part variability. Another aspect of this application is in quality control procedures.
The basis for the use of normal distribution in this application is the central limit theorem which states that the sum of a large number of identically distributed random variables, each with finite mean and variance, is normally distributed. Thus, the variations in value of electronic component parts, for example, due to manufacturing are considered normally distributed.
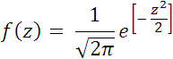
The failure density function for the normal distribution is
Equ. 1
where
μ = the population mean
σ = the population standard deviation, which is the square root of
the variance.
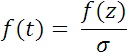
For most practical applications, probability tables for the standard normal distribution are used. The standard normal distribution density function is given by:
where
μ = 0
σ2 = 1
One converts from the normal to standard normal distribution by using the transformations
Example 1. Microwave Tube
A microwave transmitting tube has been observed to follow a normal distribution with μ = 5,000 hours and σ = 1,500 hours. Find the reliability of such a tube for a mission time of 4,100 hours and the hazard rate of one of these tubes at age 4,100 hours.
Solution
Entering the given data into the Normal Distribution tool of the Reliability Analytics Toolkit, inputs 1-3:
results in the following solution:
“The reliability at 4,100 hours is 0.73, as represented by the green shaded area to the right of the 4,100 hour point in the probability density function (pdf) plot shown below. The unreliability, or probability of failure, is 0.27, as represented by the pink shaded area to the left of the 4,100 hour point in the pdf plot.”
Note: The granularity of the pop-ups in the plots jump from 4,092 hour point to the 4,185 point. The 4,092 hour point is the closest plotted point to the requested point of 4,100 hours.
Probability Density Function Plot:

The hazard rate at the 4,100 hour point is approximately 0.0003 failures/hour, as shown in the plot below.
Example 2. Mechanical Equipment Example
A motor generator has been observed to follow a normal distribution with μ =300 hours and σ = 40 hours. Find the reliability of the motor generator for a mission time (or time before maintenance) of 250 hours and the hazard rate at 200 hours.
Entering the given data into the Normal Distribution tool of the Reliability Analytics Toolkit, inputs 1-3:
results in the following solution:
“The reliability at 250 hours is 0.89, as represented by the green shaded area to the right of the 250 hour point in the probability density function (pdf) plot shown below. The unreliability, or probability of failure, is 0.11, as represented by the pink shaded area to the left of the 250 hour point in the pdf plot.”
Probability Density Function Plot:

The hazard rate at the 200 hour point is approximately 0.00044 failures/hour, as shown in the plot below.
References:
1. MIL-HDBK-338, Electronic Reliability Design Handbook, 15 Oct 84
2. Bazovsky, Igor, Reliability Theory and Practice
3. O’Connor, Patrick, D. T., Practical Reliability Engineering
4. Birolini, Alessandro, Reliability Engineering: Theory and Practice








