The gamma distribution is used in reliability analysis for cases where partial failures can exist, i.e., when a given number of partial failures must occur before an item fails (e.g., redundant systems) or the time to second failure when the time to failure is exponentially distributed. The failure density function is
for t>0
where
mean = μ = α/λ
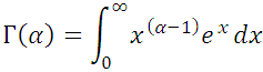
λ is the failure rate (complete failure) and a the number of partial failures for complete failure or events to generate a failure. Γ(α) is the gamma function
which can be evaluated by means of standard tables. When α – 1 is a positive integer, Γ(α) = (α – 1)!, which is usually the case for most reliability analysis, e.g., partial failure situation. For this case the failure density function is
which, for the case of α = 1 becomes the exponential density function.
The gamma distribution can also be used to describe an increasing or decreasing hazard (failure) rate. When α >1, h(t) increases; when α <1, h (t) decreases, as shown below, plotted in time multiples of standard deviation (SD) .
Example Calculation
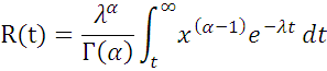
An antiaircraft missile system has demonstrated a gamma failure distribution with α = 3 and λ= 0.05. Determine the reliability for a 24 hour mission time and the hazard rate at the end of 24 hours.
Ordinarily, special tables of the Incomplete Gamma Function are required to evaluate the above integral. However, it can be shown that if α is an integer
which is the Poisson distribution. Using this equation
R(24) = 0.301 +0.362 +0.216 =0.88
References:
1. MIL-HDBK-338, Electronic Reliability Design Handbook, 15 Oct 84
2. Bazovsky, Igor, Reliability Theory and Practice
3. O’Connor, Patrick, D. T., Practical Reliability Engineering
4. Birolini, Alessandro, Reliability Engineering: Theory and Practice









